SIGCI - Sistema Gráfico de Comercio Internacional



Import Intensity muestra gráficamente las importaciones del país seleccionado desde cada uno de los países del mundo.

El país seleccionado (Reporter) se muestra pintado de color rojo.

En aquellos casos donde el país seleccionado no haya reportado datos a COMTRADE, es posible utilizar la opción de flujo espejo (Reverse trade flow) para estimar los valores del flujo comercial.

En este ejemplo, se muestran las importaciones totales de USA desde todos los países del mundo en el año 2016.


Export Intensity muestra gráficamente las exportaciones del país seleccionado hacia cada uno de los países del mundo.

El país seleccionado (Reporter) se muestra pintado de color rojo.

En aquellos casos donde el país seleccionado no haya reportado datos a COMTRADE, es posible utilizar la opción de flujo espejo (Reverse trade flow) para estimar los valores del flujo comercial.

En este ejemplo, se muestran las exportaciones cobre de Chile hacia todos los países del mundo en el año 2016.


Trade Balance muestra gráficamente el resultado de las EXPORTACIONES menos las IMPORTACIONES, del país seleccionado con respecto a cada uno de los países del mundo.

El país seleccionado (Reporter) se muestra pintado de color celeste.

En aquellos casos donde el país seleccionado no haya reportado datos a COMTRADE, es posible utilizar la opción de flujo espejo (Reverse trade flow) para estimar los valores del flujo comercial.

En este ejemplo, se muestra el Balance Comercial de China en el año 2015 para el total de sus productos con respecto a todos los países del mundo.


Similary Index mide la similitud entre las estructuras exportadoras de dos países.

El país seleccionado (Country i) se muestra pintado de color rojo.

La fórmula para calcular el índice es:


donde,
xik: exportaciones del producto k del país i.
xjk: exportaciones del producto k del país j.
xi: exportaciones totales del país i.
xj: exportaciones totales del país j.
n: número total de productos de la CUCI Rev.2.

El resultado del índice fluctúa entre cero y uno.

Si los dos países tiene estructuras exportadoras totalmente diferentes, el resultado del índice será cero.

Si el índice se aproxima a uno la conclusión es que las estructuras exportadoras de ambos países son similares.

En este ejemplo, se muestra el índice de similitud entre Estados Unidos y cada uno de los países de América Latina en el año 2010. Los resultados se presentan ordenados de mayor a menor.


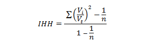
Concentration Index [PRODUCTS], basado en el índice de Hirschman-Herfindahl, mide la diversificación / concentración de una canasta de productos.

Como canasta de productos se consideran todos los productos de la clasificación CUCI Rev.2. a tres dígitos.

En este ejemplo, se seleccionaron los 5 países del MERCOSUR, el índice se calcula separadamente para cada país.

Es posible el cálculo del índice considerando los valores de Importaciones o Exportaciones, en este ejemplo se seleccionó Exportaciones.

La fórmula para calcular el índice es:


donde,
Vi: exportaciones o importaciones del producto i.
Vt: valor total de todos los productos Vi.
n: es el número de productos seleccionados.

Así, los valores posibles para este índice varían entre 0 y 1, donde 0 indica totalmente diversificado y 1 indica totalmente concentrado.

Entre 0 y 0.15: Diversificado (verde).
Entre 0.15 y 0.25: Moderadamente concentrado (amarillo).
Mayor que 0.25: Concentrado (rojo).


Concentration Index [PARTNERS], basado en el índice de Hirschman-Herfindahl, mide la diversificación / concentración de un país reporter con respecto a todos los países del mundo en el TOTAL de sus exportaciones o importaciones.

En este ejemplo, el índice de Herfindahl se calcula para cada país reporter de América Latina (AG1 - ALC33) usando las exportaciones del año 2015.

Es posible el cálculo del índice considerando los valores de Importaciones o Exportaciones, en este ejemplo se seleccionó Exportaciones.

La fórmula para calcular el índice es:


donde,
Vi: exportaciones o importaciones TOTALES del país reporter hacia o desde el país partner i.
Vt: valor TOTAL de las exportaciones o importaciones hacia o desde todos los países partner seleccionados.
n: es el número de países del mundo.

Así, los valores posibles para este índice varían entre 0 y 1, donde 0 indica totalmente diversificado y 1 indica totalmente concentrado.

Entre 0 y 0.15: Diversificado (verde).
Entre 0.15 y 0.25: Moderadamente concentrado (amarillo).
Mayor que 0.25: Concentrado (rojo).


Grubel-Lloyd Index [PRODUCTS] mide el grado de similitud de las dotaciones de factores productivos en el intercambio bilateral entre países.

El índice arroja resultados que van de 0 a 1.

Mayor que 0.33: comercio INTRA-industrial (verde).
Entre 0.1 y 0.33: comercio moderadamente INTRA-industrial (amarillo).
Entre 0 y 0.1: comercio INTER-industrial (rojo).

Así, un índice cercano a 1 indica comercio en sectores similares, esto es, comercio INTRA-industrial, un índice cercano a 0 indica comercio en sectores distintos, esto es, comercio INTER-industrial.

En este ejemplo, se seleccionó el comercio bilateral entre Bolivia y Ecuador en el año 2014.

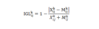
La fórmula para calcular el índice es:


donde,
X: son exportaciones.
M: son importaciones.
i: país reporter.
j: país partner.
k: sector productivo a 3 digitos de la clasificación de productos CUCI Rev.2.


Grubel-Lloyd Index [PARTNERS] mide la intensidad del comercio INTRA-industrial.

El país seleccionado (Reporter) se muestra pintado de color celeste.

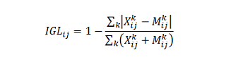
En el intercambio bilateral entre 2 países, este índice se define como:


donde,
X: son exportaciones.
M: son importaciones.
i: país reporter.
j: país partner.
k: sector productivo a 3 digitos de la clasificación de productos CUCI Rev.2.

El índice arroja resultados que van de 0 a 1.

Mayor que 0.33: comercio INTRA-industrial (verde).
Entre 0.1 y 0.33: comercio moderadamente INTRA-industrial (amarillo).
Entre 0 y 0.1: comercio INTER-industrial (rojo).

Así, un índice cercano a 1 indica comercio bilateral principalmente INTRA-industrial, y un índice cercano a 0 indica comercio bilateral INTER-industrial.

En este ejemplo, se seleccionó el comercio bilateral entre USA y cada uno de los países de América Latina en el año 2015, considerando todos los sectores productivos de 3 dígitos.


Balassa Index [ PARTNERS-EXPORT ].

La fórmula para calcular el índice es:


donde,
X: son las exportaciones.
XT: son las exportaciones totales.
k: corresponde al producto.
i: corresponde al país de origen (reporter).
j: corresponde al país de destino (partner).

Los valores posibles para este índice varían entre 1 y -1, donde se pueden distinguir los siguientes rangos.

Entre 1 y 0.33: Ventaja competitiva (Competitive advantage) verde.
Entre 0.33 y -0.33: Tendencias intra comerciales (Intra trade trends) amarillo.
Entre -0.33 y -1: Desventaja competitiva (Competitive disadvantage) rojo.

En este ejemplo, se muestra el índice entre Estados Unidos y cada uno de los países de la Unión Europea para el sector 001 (Live animals chiefly for food) en el año 2016.